
Для моделирования выбрано Данковское лесничество Опытного лесного хозяйства “Русский лес”, площадью 7351 га. В качестве исходных данных использованы таксационные описания и планы лесных насаждений 1990 г.
Моделирование динамики насаждений проведено по названным выше трем сценариям ведения лесного хозяйства. В результате вычислительных экспериментов были получены прогнозные повыдельные таксационные базы данных на 40 шагов моделирования, т.е. сделаны прогнозы динамики лесного фонда Данковского лесничества на 200 лет.

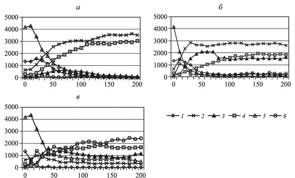
Прогноз изменения площадей насаждений Данковского лесничества по преобладающим породам при разных сценариях ведения лесного хозяйства:
а - сценарий 1, б - сценарий 2; в - сценарий 3. По оси абсцисс - время, годы; по оси ординат - площадь, га. Преобладающие породы: 1 - сосна, 2 - ель, 3 - дуб, 4 - липа, 5 - береза и осина, 6 - подлесок (лещина, рябина).
Прогноз изменения площади древостоев по группам пород. В настоящее время большую часть лесничества (более 80%) покрывают леса, состоящие из светолюбивых видов (береза, осина, сосна). При моделировании естественного развития древостоев (по 1-му сценарию) плавно уменьшается доля насаждений с доминированием мелколиственных пород и сосны за счет их естественного старения и распада. Одновременно увеличиваются площади насаждений с преобладанием ели и широколиственных пород (прежде всего липы), в результате к 40 шагу моделирования леса становятся хвойно-широколиственными, что соответствует лесам зонального типа, но доля дубовых насаждений остается незначительной (около 3-5%). Площадь сосновых насаждений постепенно уменьшается, достигая минимума на 40-м шаге моделирования. Полученный прогноз полностью подтверждается результатами наблюдений в Приокско-Террасном заповеднике (Оценка..., 2000), граничащем с Данковским лесничеством.

Прогноз развития насаждений (моделирование по 2-му сценарию) при ведении хозяйства на хвойные и твердолиственные породы предсказывает более быстрое уменьшение доли березовых и осиновых лесов. К 20-му шагу моделирования (через 100 лет) площадь мелколиственных насаждений достигает минимальных значений. Это связано с проведением рубок обновления и переформирования, а также с избирательным удалением этой группы пород в ходе рубок ухода. Проведение рубок ухода приводит к увеличению площадей насаждений с преобладанием дуба. Влиянием рубок ухода можно объяснить более резкое, по сравнению с 1-м сценарием моделирования, увеличение площади ельников, некоторое снижение доли насаждений с преобладанием липы, а также крайне низкую долю насаждений с доминированием подлеска на вырубках. По сравнению с 1-м сценарием, более резко происходит уменьшение площадей, занятых сосновыми насаждениями. Построение прогнозов развития лесных насаждений по 3-му сценарию (с нарушением правил ведения лесного хозяйства) моделирования приводит к совсем иным последствиям. По сравнению с другими сценариями, на протяжении первых 30 шагов (150 лет) сохраняется высокая доля площади, занятая насаждениями с преобладанием мелколиственных пород. На отдельных этапах моделирования более 20% площади заняты крайне малоценными с хозяйственной точки зрения кустарниковыми зарослями, представленными в основном лещиной, что затрудняет возобновление мелколиственных пород. Площади, занятые насаждениями с преобладанием ели, практически на протяжении всего периода моделирования значительно меньше, чем при моделировании по 2-му и по 3-му сценариям. Площадь сосновых насаждений сокращается очень резко, достигая минимума к 18-му шагу моделирования (через 90 лет). Площади насаждений с преобладанием дуба и широколиственных пород, благодаря порослевому возобновлению, постепенно увеличиваются с 20 шага моделирования (через 100 лет).
Прогнозные карты на 40-м шаге моделирования иллюстрируют значительные различия в пространственном распределении выделов между разными сценариями ведения лесного хозяйства. При проведении полного цикла рубок ухода по действующим нормативам (сценарий 2) увеличиваются площади насаждений с преобладанием наиболее ценных пород деревьев - дуба и ели. При нарушении действующих нормативов ведения лесного хозяйства (сценарий 3) сокращаются площади насаждений с доминированием ценных пород и увеличиваются площади выделов с преобладанием малоценных мелколиственных пород и кустарников, а также менее ценных в хозяйственном отношении порослевых широколиственных деревьев.

Прогноз изменения площадей основных преобладающих пород по классам возраста представлен на рисунке. При моделировании естественного развития насаждений (сценарий 1) происходит постепенное старение и распад древостоев, образованных светолюбивыми видами деревьев (сосны и березы). Теневыносливые виды (ель и липа) постепенно формируют старовозрастные древостой, которые начинают преобладать по площади. Моделирование по 2-му сценарию приводит к формированию мозаики насаждений разных классов возраста с преобладанием хозяйственно ценных пород (ели и дуба семенного происхождения). Построение прогнозов по 3-му сценарию приводит к резкому сокращению площадей насаждений старших классов возраста, особенно с преобладанием хозяйственно ценных пород -ели, семенного дуба и сосны. В этом случае лесной массив представлен мозаикой насаждений разных классов возраста с преобладанием малоценных пород (порослевого дуба, липы, березы).
Анализ результатов моделирования демонстрирует, что программный комплекс FORRUS-S предлагает прогнозы развития насаждений, которые могут отражать различные режимы ведения лесного хозяйства. На основе полученных в результате моделирования прогнозов можно выбрать оптимальные сценарии ведения лесного хозяйства конкретной территории.

Распределение выделов Данковского лесничества с разным числом видов деревьев на 40-м шаге вычислительного эксперимента.
Прогноз изменения уровня биоразнообразия лесных насаждений при разных сценариях ведения лесного хозяйства. Программный комплекс FORRUS-S позволяет прогнозировать изменение биоразнообразия модельной территории при разных сценариях ведения лесного хозяйства. Для этого использованы следующие параметры: 1) запас по основным лесообразующим породам; 2) площади основных лесообразующих пород, выделов с разным числом видов деревьев, с разными типами стратегий, с разными онтогенетическими состояниями, с разной ярусной структурой, с разными бонитетами и др.
В программном комплексе FORRUS-S предусмотрено проведение несколько вариантов оценки видового разнообразия, на рисунке представлен один из возможных результатов - прогноз изменения уровня видового разнообразия модельного лесного массива в зависимости от названных ранее сценариев ведения лесного хозяйства (Паленова и др., 2001). Во всех случаях формируются многовидовые насаждения, нарушение технологии проведения лесохозяйственных работ (3 сценарий) ведет к существенному снижению числа многовидовых выделов.

Другой вариант оценки видового разнообразия - учет площади, занятой выделами с полидоминантной структурой древостоев. Моделирование показало, что при естественном развитии площадь полидоминантных насаждений наибольшая.
В программном комплексе FORRUS-S возможна оценка структурного разнообразия насаждений. Ее оценивают по соотношению видов разных типов стратегий. Для оценки структурного разнообразия лесных насаждений Данковского лесничества был проведен расчет площадей, занимаемой видами разных типов стратегий, по 1-му, 2-му и 3-му сценариям. Анализ исходного состояния территории показал, что в настоящее время 72% площади лесничества занято пионерными видами деревьев (береза, осина и сосна). Это связано с тем, что лесные массивы территории сформировались в результате сильных антропогенных воздействий (распашки, гари, многократных рубок). При естественном развитии (1-й сценарий) к 40-му шагу в насаждениях содоминируют виды конкурентной и толерантной стратегий. При моделировании полного цикла лесохозяйственных мероприятий (2-й сценарий) на 20-м и 40-м шагах доминируют виды с конкурентной стратегией. Моделирование лесохозяйственных мероприятий с нарушениями нормативов (3-й сценарий) приводит к результату, подобному 1-му сценарию.

Динамика площадей полидоминантных древостоев Данковского лесничества при разных сценариях моделирования (1-3).

Соотношение площадей древостоев, представленных видами разных типов стратегий:
1 - реактивные (пионерные) виды, 2 - толерантные виды, 3 - конкурентные виды. А, В - состояние на 20-м и 40-м шагах моделировния по сценарию 1; С, D - состояние на 20-м и 40-м шагах моделирования по сценарию 2; Е, F - состояние на 20-м и 40-м шагах моделировния по сценарию 3.

Площади насаждений с участием ели, березы, липы и соотношение площадей, занимаемых деревьями разных онтогенетических состояний на 40-м шаге вычислительного эксперимента при разных сценариях моделирования.
Программный комплекс позволяет оценивать демографическую структуру популяций деревьев. Моделирование естественного развития приводит к формированию демографически полночленных популяций ели и липы. Моделирование по сценарию 2 приводит к резкому сокращению площадей насаждений с участием сенильных и старых генеративных особей. Сильнее всего под влиянием нарушений технологии проведения лесохозяйственных работ (сценарий 3) страдает популяция ели, а для поддержания популяций березы такой режим ведения лесного хозяйства является благоприятным.
Для сравнительной оценки P-разнообразия моделируемой территории при разных сценариях его развития был использован индекс Уиттекера (Мэгарран, 1992). Значения индекса Уиттекера в исходном состоянии составляли 3,0, а на 40-м шаге моделирования (через 200 лет) по 1-му сценарию - 3,4, по 2-му сценарию - 2,9, по 3-му сценарию - 3,2. Расчеты показали, что естественное развитие приводит к увеличению Р -разнообразия по сравнению с современным состоянием территории, в то время как моделирование лесохозяйственных воздействий приводит к снижению этого показателя.

Сравнительный анализ полученных для разных сценариев прогнозных баз данных позволяет получать не только прогноз таксационных показателей, но и оценку уровня биоразнообразия лесных территорий при разных режимах лесопользования.
Представленный программный комплекс FORRUS-S является открытым, т.е. позволяет добавлять различные целевые блоки, которые обеспечат моделирование воздействий различных катастрофических факторов (пожаров, ветровалов и пр.) и лесохозяйственных мероприятий (рубок главного пользования различной конфигурации, рубок ухода разной интенсивности, мероприятий по лесовозобновлению и т.д.). Целевые блоки могут быть подключены на любом шаге работы модели. Возможность их добавления позволяет существенно расширить область применения модели. Другая возможность применения модели - оценка влияния загрязнения окружающей среды, подтопления, нарушения почвенного покрова, мелиоративных мероприятий на таксационные характеристики лесных насаждений. Набор собранных к настоящему времени справочных баз обеспечивает построение прогнозов развития лесных насаждений для европейской России.
Сценарное моделирование и аналитические возможности вспомогательных программ делают программный комплекс FORRUS-S инструментом, необходимым исследователям и специалистам в области управления лесным хозяйством. Комплекс может быть использован для оценки эффективности проектируемых лесохозяйственных мероприятий и лесопользования, оценки их влияния на улучшение лесов и изменение уровня разнообразия лесных экосистем, обоснования проектов устойчивого лесопользования, поддержки принятия решений в области лесного управления.