
В пойменных лесах из осокоря длительное время велись заготовки его коры, обладающей свойствами пробки. Запасы деревьев 70-80-летнего возраста, пригодных для этих заготовок, к началу XX века сильно сократились.
Одновременно велись и заготовки древесины осокоря и ветлы, которые можно было проводить и при более молодом возрасте древостоя. В связи с этим в поймах низовьев Волги и Дона большинство ивовых и тополевых лесов, обследованных в начале XX века, уже были порослевыми.
На вырубках часто проводился выпас скота, из-за чего повреждался не только подрост внедряющихся новых древесных видов, но и поросль ивы и тополя (Шингарева-Попова, 1935). Возможно, именно изреживание лесов и выпас обусловливают до известной степени “луговой” характер травяного покрова таких лесов, то есть присутствие в нем светолюбивых мезофильных и гигрофильных видов.

В последнее десятилетие тополевые и ивовые леса в пойме нижней Волги были широко обследованы повторно; была отмечена прогрессирующая деградация многих из них. Порослеобразование во многих тополевых лесах сейчас неактивно, поскольку возраст деревьев уже превысил тот, при котором оно достигает максимума. Семенное возобновление по берегам приживается неудовлетворительно из-за выпаса и измененного гидрологического режима поймы во время вегетационного периода (Невидомов, 1994). Таким образом, без специальных восстановительных и охранных мероприятий такая своеобразная черта растительности пойм как осокоревые леса может быть совсем утрачена.

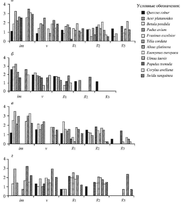
Демографическая структура популяций древесных видов во вторичных лесах унаследованной поймы (зона широколиственных лесов, река Нерусса):
а - в результате зарастания вырубок на краткопоемных гривах (асс. Aceri campestris-Quercetum roboris), б- в результате зарастания сенокосов на краткопоемных гривах (асс. Aceri campestris-Quercetum roboris), в - в результате зарастания вырубок на среднепоемных гривах (асс. Ficario-Ulmetum), г - в результате зарастания вырубок на долгопоемных гривах (асс. Circaeo-Alnetum). На диаграммах по оси абсцисс - онтогенетические состояния, по оси ординат - плотность особей (шт./га) в логарифмическом масштабе.