
Вообще, исследования в пойме Неруссы показали, что состав древесных видов, осуществляющих инвазию непосредственно в прирусловые ивняки, может быть довольно разнообразным: там были отмечены ясень обыкновенный, дуб черешчатый (Quercus robur), ольха черная (Alnus glutinosa), вяз гладкий, клен остролистный (Acer platanoides), крушина ломкая (Frangula alnus), черемуха обыкновенная (Padus avium), бересклет европейский (Euonymus europaea), лещина (Corylus avellana) (Евстигнеев, Браславская, 1999; Браславская, 2001а,б).
Эти наблюдения заметно контрастируют с опубликованными данными о сукцессиях древесной растительности в других поймах. Например, в неморальных поймах средней Волги и нижней Камы в прирусловых кустарниковых ивняках и ветлово-осокоревых лесах был отмечен подрост только трех не-пионерных видов - вяза гладкого, крушины ломкой и розы коричной (Rosa cinnamomea) (Марков, Фирсова, 1955). В субаридных поймах (Белая, средний Дон) в прирусловых тополевых лесах был отмечен подрост только вяза гладкого (Арсенов, Свиридова, 1968; Миркин и др., 1970).

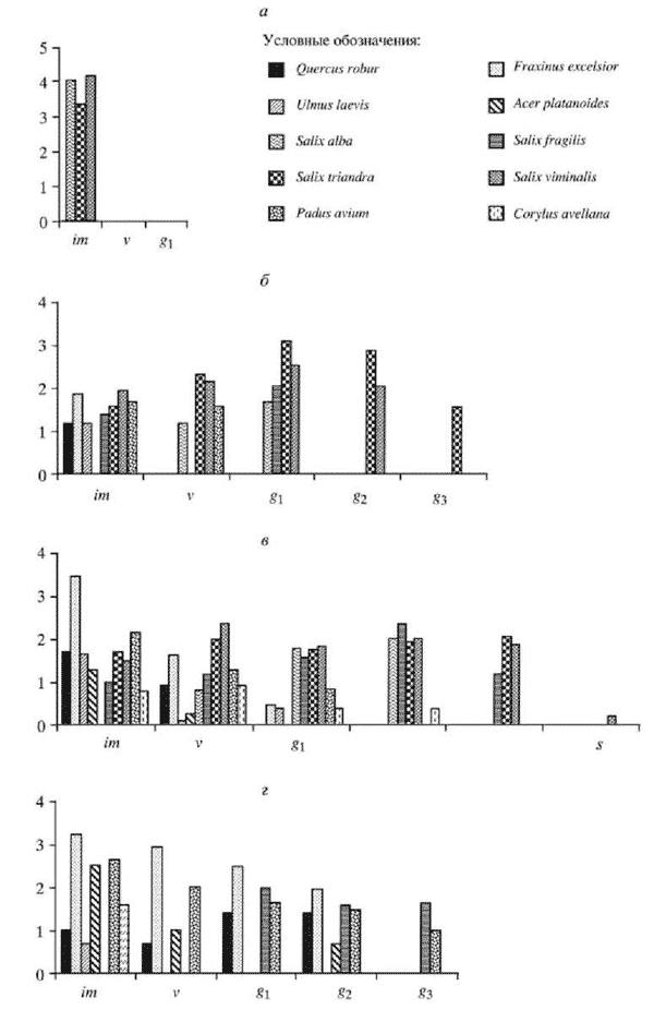
Демографическая структура популяций древесных видов в составе малонарушенной растительности на молодых гривах переработанной поймы (зона широколиственных лесов, река Нерусса):
а- в травяной растительности на долгопоемных прирусловых отмелях (кл. Bidentetea tripar titi), б - в формирующихся ивняках на долгопоемных прирусловых гривах (асс. Salicetum triandro-viminalis), в - в старых ивняках на долгопоемных прирусловых гривах (асс. Salicetum triandro-viminalis), г - в лесах на отстоящих от русла среднепоемных гривах (переход от асс. Salicetum albae к асс. Ficario-Ulmetum).
На диаграммах по оси абсцисс - онтогенетические состояния, по оси ординат - плотность особей (шт./га) в логарифмическом масштабе.