
В ельнике-черничнике крупных упавших деревьев больше, чем в ельнике-зеленомошнике, хотя сомкнутость крон в ельнике-черничнике выше.
Низкая сомкнутость крон в ельнике-зеленомошнике определялась низкой полнотой насаждений, а не хорошо развитой оконной мозаикой, как в приручьевых и высокотравных лесах. В этих сообществах часто встречались следы выборочных рубок сосны в виде старых крошащихся пней и следы пожаров в виде пожарных подпалин на старых одиночных соснах.
В ельнике-черничнике доминировали подзолистые почвы с мор-горизонтом. Мощность подзола достигала 15 см в биотопах Карелии и 25 см в биотопах Коми. Во всех почвенных разрезах и прикопках в ельниках-черничниках встречались как одиночные угли, так и угольные слои. В зеленомошных ельниках были встречены подзолистые почвы различных типов. Глубина подзола здесь достигала 10-15 см в насаждениях Карелии и 8-20 см в насаждениях Коми. Слои углей в почве типичны для ельников-зеленомошников.

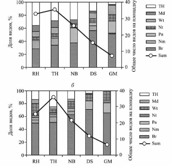
Соотношение видов разных эколого-ценотических групп и общее число видов сосудистых растений на площадку в разных типах старовозрастных еловых лесов Коми (а) и Карелии (б):
RH - долинные неморально-бореально-высокотравные ельники, ТН - водораздельные неморально-бореально-высокотравные ельники, NB - ельники неморально-бореальные, DS - ельники бореально-зеленомошные, GM - ельники зеленомошные.
Эколого-ценотические группы: Вг - бореальная, Nm - неморальная, Рп - боровая, Nt -нитрофильная, Wt - водно-болотная, Md - луговая, ТН - высокотравная опушечная. Sum - общее число видов сосудистых растений на площадку.