
Для деревьев достаточно обычно многократное перевершинивание, а также дву- или многовершинность.
Велика доля деревьев, поврежденных фитопатогенными грибами (корневой губкой, еловым комлевым трутовиком, ржавчинным раком пихты), причем даже общие для ели и пихты патогенные виды поражают эти породы неодинаково. В целом для пихты характерна гораздо более высокая степень повреждения фитопатогенными грибами (у деревьев, входящих в верхний полог древостоя, - практически стопроцентная).

Распределение пробных площадей (круговых, радиусом 5 м) по классам сомкнутости древостоя (общей для ярусов А и В) для малонарушенной елово-пихтовой тайги (кв. 56 Усьвенского лесничества, слева) и для 64-летнего березняка по сплошной вырубке (кв. 100н Усьвенского лесничества, справа). Общее число проб в каждом случае 82.

Распределение валежа по степеням разложения (7, 2, 3) и общее проективное покрытие валежа (%) в малонарушенном елово-пихтовом лесу (кв. 18 Усьвенского лесничества), на участке заброшенного в середине прошлого века сенокоса (кв. 17 Усьвенского лесничества) и в 64-летнем березняке по сплошной вырубке (кв. 100н Усьвенского лесничества).
Достаточно большую площадь занимает валеж; на долю различимого валежа всех пород и возрастов нередко приходится до 10-20 % площади. В процессе работы мы применяли трехбалльные шкалы стадий разложения валежа и бурелома:
1 - свежий валеж и бурелом текущего года с сохранившейся хвоей или листьями, а также валеж и бурелом предшествующих лет с частично сохранившимися мелкими сучьями и корой, со степенью покрытия зелеными мхами не более 25%; предельная длительность первой стадии для валежа крупных елей - около 10-15 лет;
2 - старый валеж и бурелом, покрыт зелеными мхами от 26 до 100%, мелкие сучья и кора, как правило, не сохраняются; валежина сохраняет круглую в сечении форму, древесина достаточно прочная и не распадается под действием собственной тяжести; предельная длительность второй стадии для крупных елей до 25-35 лет;
3 - очень старый валеж и бурелом, покрыт зелеными мхами, как правило, почти на 100%; древесина рыхлая, распадается под действием собственной тяжести; валежина не сохраняет круглую в сечении форму и представляет собой вытянутый холм древесной трухи, иногда с фрагментами относительно твердой древесины в верхней части; у деревьев березы иногда сохраняется достаточно плотная береста, однако древесина уже полностью превращена в труху.

Зависимость плотности подроста (j-v) особей от диаметра валежа в малонарушенном темнохвойном лесу: 1 - подрост ели, 2 - подрост пихты; на 15-летней вырубке: 3 - подрост ели. Плотность рассчитана на 1 м длины валежа.

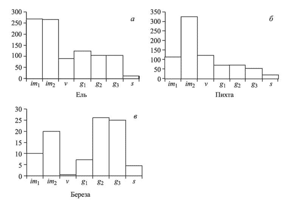
Усредненные возрастные спектры ели (а), пихты (б) и березы (в) по восьми постоянным пробным площадям в пределах массива малонарушенных темнохвойных лесов заповедника “Басеги”. На оси ординат - число особей на 1 га.