
За время наблюдений число видов деревьев, кустарников и трав на пробной площади № 13 значительно сократилось.
Из состава подлеска выпали светолюбивые деревья и кустарники (Acer tataricum, Rhamnus cathartica, Sorbus aucuparia, Viburnum opulus); более светолюбивый Euonymus verrucosa сменился Euonymus europaea. В напочвенном покрове в два раза сократилось число видов. Выпали виды нитрофильной и боровой групп, в четыре раза сократилось число видов бореальной, опушечной и лугово-степной групп. Некоторое сокращение числа видов неморальной эколого-ценотической группы связано с выпадением более светолюбивых видов этой группы: Brachypodium pinnatum, Melica nutans, Festuca gigantea, Lamium maculatum, Convallaria majalis. Однако неморальная группа - абсолютный доминант по проективному покрытию, причем этот показатель практически не изменился: 97,53% в 1937 г. и 98,69% в 2000 г.. Изменения внутри самой неморальной группы сводятся к следующему. Если в 1937 г. встречаемость довольно большой группы растений была более 88% (Aegopodium podagraria, Carex pilosa, Asarum europaeum, Pulmonaria obscura, Stellaria holostea 100%; Polygonatum multiflorum, Viola mirabilis, Lathyrus vernus 88-97%), то в 2000 г. только сныть отмечена на всех учетных площадках.
Изменение числа видов на пробной площади № 13 (осинник снытевый)
|
Признак |
1937 г. |
2000 г. |
|
Общее число видов: |
48 |
25 |
|
деревьев |
11 |
8 |
|
кустарников |
4 |
2 |
|
трав |
33 |
15 |

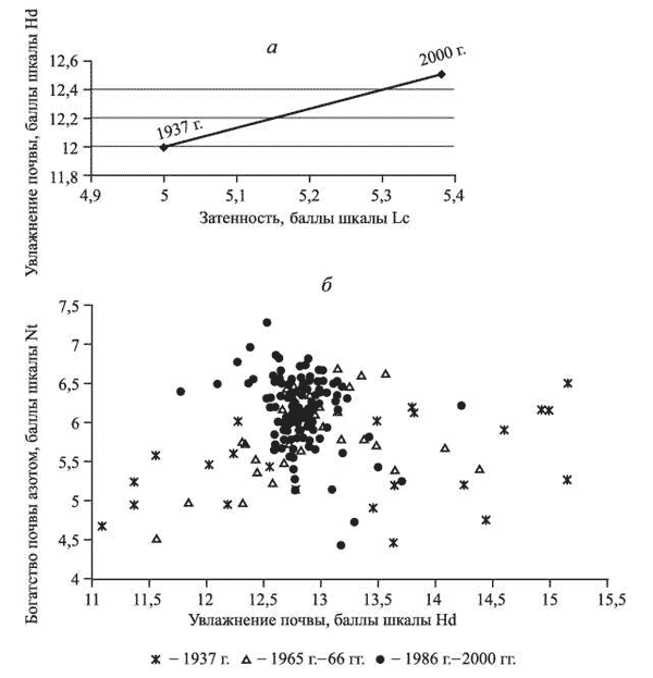
Изменение балловых экологических оценок растительного покрова осинников:
а - оценки получены для пробной площади № 13 за 1937 и 2000 годы наблюдений; б - оценки получены по данным описаний 1937, 1965-1966, 1986-2000 гг.
Шкалы по Д.Н. Цыганову (1983).
Встречаемость других видов резко снизилась: Pulmonaria obscura встречается на 62% учетных площадок, Carex pilosa, Asarum europaeum, Galium odoratum - на 32-34%. В 1937 году доля сныти в общем проективном покрытии составляла 44%, а в 2000 г. - 69%. Все эти изменения сопровождаются более чем трехкратным увеличением общего проективного покрытия (с 15 до 55%).
Анализ динамики экологических характеристик показал небольшое увеличение увлажнения и затененности; кислотность, солевое богатство и богатство почвы азотом, определенные по экологическим шкалам по описанию 1937 г. и 2000 г., полностью совпадают.