
Распределение исходных (т.е. наименее нарушенных в результате хозяйственной деятельности) ассоциаций по профилю катены (на примере бассейна реки Уба) характеризуется следующими закономерностями: на хорошо дренированных участках местных водоразделов с превышением более 10 м над урезом реки располагаются липовые леса, сохранившиеся в виде небольших массивов.
При сравнительном анализе флористического состава широколиственных лесов эти леса отнесены нами к ассоциации Querco-Tilietum subass. caricetosum pilosae var. Aconitum septentrionale. Ha пологих склонах местных водоразделов и террас в виде отдельных фрагментов представлены также липово-еловые леса. Участки еловых лесов, как правило, расположены в плохо дренируемых понижениях по склонам террас или вдоль некоторых притоков Убы.

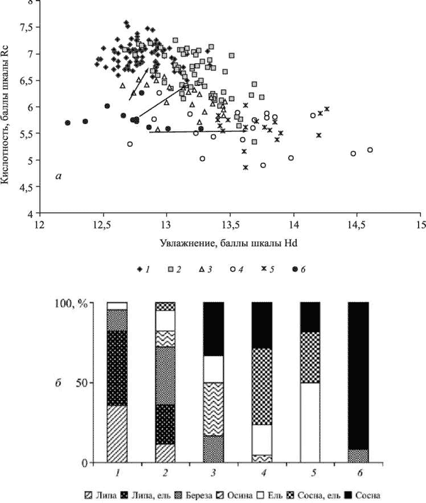
Характеристика структуры исходных и производных послепожарных сообществ (национальный парк Марий Чодра) в ландшафте зандрового типа:
а - размещение исходных и производных послепожарных сообществ в экологическом пространстве факторов;
б - соотношение деревьев-доминантов и содоминантов сообществ.
Ассоциации: 1 - Querco-Tilietum cordatae, 2 - Rhodobryo rosei-Piceetum abietis, 3 - Querco-Pinetum; 4 - Vaccinio myrtilli-Pinetum, 5 - Maianthemo bifolii-Piceetum abietis, 6 - Vaccinio vitis-idaeae-Pinetum.
Стрелками показаны возможные направления послепожарных восстановительных сукцессий.
В заливаемой части поймы можно встретить сообщества двух типов:
1) с участием ольхи черной, липы и мелколиственными видами деревьев в сочетании с неморальными и нитрофильными видами трав; 2) ельники с участием бореальных и болотных трав и хорошо развитым моховым покровом из зеленых и сфагновых мхов.
Леса, относящиеся к одной ассоциации по эколого-флористической классификации, занимают области экологического пространства, которые в той или иной степени перекрываются. Широколиственные (липовые) леса занимают наименее кислую и умеренно увлажненную область экологического пространства, смешанные (липово-еловые) - сдвинуты в область с более высоким увлажнением и кислотностью; при дальнейшем увеличении увлажнения местообитания и сдвиге реакции почв в кислую область липово-еловые леса сменяются еловыми лесами с преобладанием бореальных видов. Сосновые леса занимают область с пониженным увлажнением и высокой кислотностью.