
Фитокатена промежуточного типа демонстрируется на примере схемы размещения ЭЦК в бассейне реки Жилетовка. Катена представлена двумя профилями: правый берег характеризуется небольшим перепадом высот (не более 10 м над урезом реки); левый берег (Б2) имеет превышение в 20-25 м.
Лесной покров правого берега преимущественно представлен неморально-бореальным комплексом, при этом в ложбинах (экотоп 7) увеличивается участие нитрофильных видов и снижается участие бореальных. В древесном ярусе зрелые древостой ели (созданные преимущественно культурами) чередуются с доминированием осины или видов берез. Преобладающая ассоциация Rhodobryo rosei-Piceetum abietis subass. caricetosum pilosae. На левом берегу преобладает неморальный эколого-ценотический комплекс. При этом участие бореальных видов снижается как в верхней части катены (экотоп 7), так и по склону речной террасы (экотоп 3) и несколько увеличивается на покатом склоне (экотоп 2). В этих экотопах преимущественно представлена ассоциация Querco-Tilietum subass. caricetosum pilosae или ее мелколиственные производные. В пойме (экотоп 4) доля бореальных видов ничтожно мала, но значительно возрастает участие нитрофильных видов.

По сравнению с лесным покровом нейтральной катены участие бореальных видов в структуре лесного покрова реки Жилетовка несколько выше, особенно по низменному правому берегу. Эта тенденция еще более усиливается в связи с тем, что в XX веке на этой территории большие площади были заняты культурами ели (Заугольнова и др., 2000 а). В отличие от предыдущей фитокатены, в фитокатене реки Жилетовка происходили процессы противоположного характера - ослабление неморальных и усиление позиций бореальных видов.
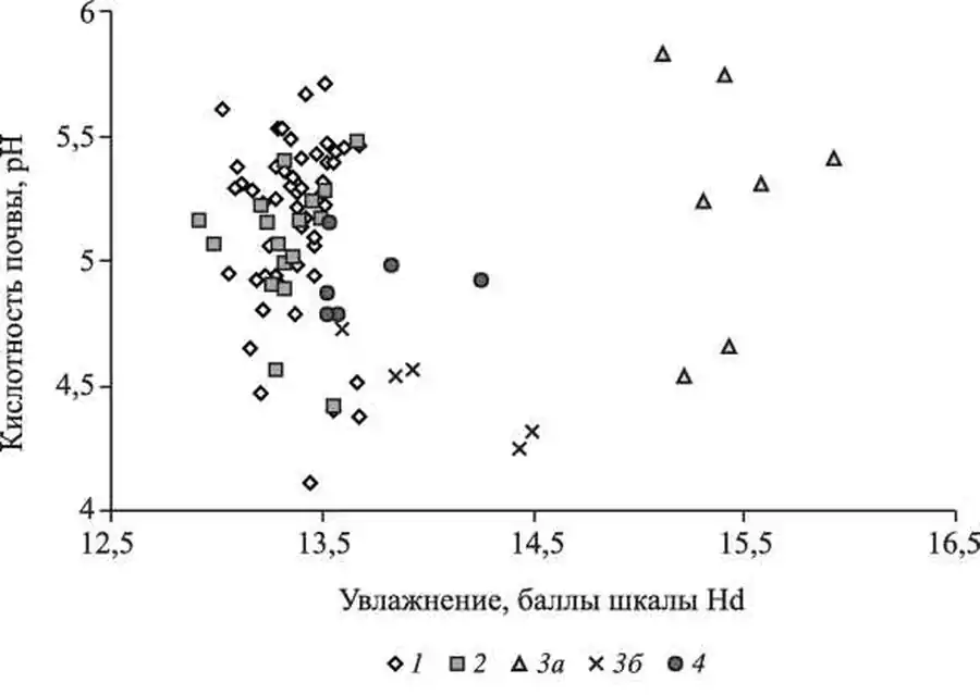
Катена “кислого типа”. Описана на примере бассейна реки Тома (Судиславский р-н, Костромская обл.), в пределах которой выделены следующие экотопы: 7 - покатые склоны моренной равнины, 2 - верхние части водоразделов, 3 - слабо дренированные депрессии двух типов - обширные болотистые понижения на низких отметках с сохранением воды на поверхности в течение лета (3а) и небольшие залесенные понижения автоморфного типа (3б), 4 - пойма малой реки. В этой катене в экологическом пространстве слабо дифференцированы экотопы 7 и 2, последний несколько сдвинут в более кислую часть экологического пространства. Экотопы 3а и 3б занимают ту часть экологического пространства, которое характеризуется более высоким увлажнением, при этом экотоп 3б сдвинут в сторону более низкой кислотности по отношению к экотопу За. Первый из них занят травяно-сфагновыми болотами, а второй - мезотрофными травяноосоковыми болотами.

Экологическое пространство катены кислого типа (на примере реки Тома в Костромской области); варианты экотопов.