
Преобладание относительно небольшого числа видов - общий принцип организации сообществ. Очень трудно найти единый критерий, единую меру выделения доминантов в сообществах разных типов. Возможно, что индексы доминирования в тундровых сообществах могут быть не выше, чем, например, в лесных или степных, но бесспорно, что в тундрах набор доминантов более стабилен, менее разнообразен.
Категория доминанта тесно связана с категорией эдификатора. В геоботанике они иногда используются совместно либо даже одна взамен другой, хотя их смысловые различия достаточно определенны. В тундровых сообществах различия между этими категориями менее отчетливы, чем, например, в лесных, что обусловлено общим снижением значимости биотических факторов в сложении ценозов.

Кривые рангового распределения относительно обилия видов коллембол в подзоне арктических тундр, в окрестностях пос. Диксон: 1 - пятна голого грунта, 2 -зарастающие пятна, 3 - трещины. Р - относительное обилие 1-го вида.
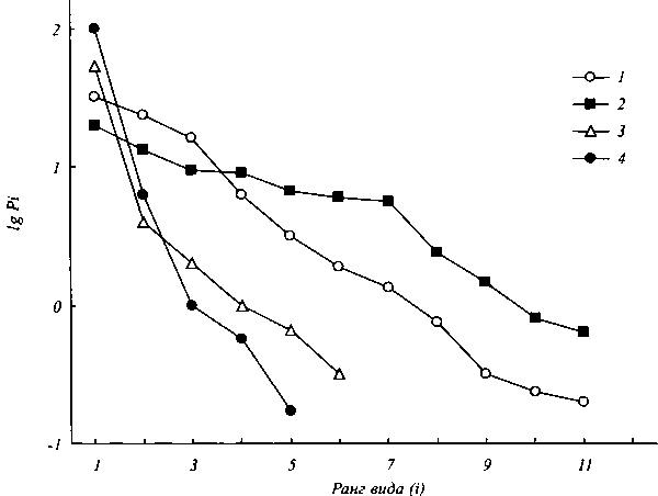
Явление доминирования обусловлено отклонением от условий, благоприятных для обитания бесконечного множества видов. Чем специфичнее условия, тем сильнее выражена доминантность, тем больше разница величин обилия видов. Это правило проявляется даже в мире микроорганизмов, что показано на примере дрожжевых грибов (И. Чернов, 1985). Мертвые, но еще целые листья - наиболее благоприятный субстрат для дрожжей, на них встречено наибольшее число видов, показатели численности которых максимально выровнены. Разлагающиеся листья и особенно перегной - гораздо более специфичные субстраты для этих грибов, число видов дрожжей на них сокращено, а показатели численности резко различны, более отчетливо выделяются доминанты.

Кривые рангового распределения относительно обилия видов дрожжей на различных стадиях разложения листьев Careх ensifolia на севере Таймыра: 1 - зеленые листья, 2 - отмершие неразложившиеся листья, 3 - разлагающиеся листья, 4 - перегной (по: И.Ю. Чернов, 1985).