
Была выявлена специфика реакций разных таксономических групп на пространственную изменчивость климата.
Из таблице видно, что параметры альфа-разнообразия (S, N, N2, G, d) в одних случаях (пауки, двупарноногие многоножки) коррелируют с тепловыми факторами, а в других (дождевые черви, проволочники) - с показателями атмосферной влажности. Выявлена также связь с механическим составом почвы и толщиной гумусового горизонта. Она особенно четко прослеживается на примере моллюсков и дождевых червей. Разумеется, наличие корреляций еще далеко не означает причинно-следственную связь, и наши результаты не позволяют утверждать, что, например, разнообразие группировок проволочников и дождевых червей вовсе не связано с температурой, а только с влажностью. Скорее всего в сложном комплексе факторов в одних случаях выступают одни, а в других - иные ведущие факторы.
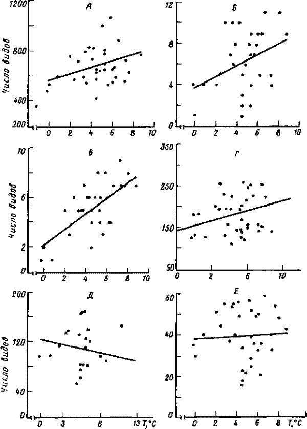
Специфика изменчивости разнообразия отдельных групп видна и на втором примере, демонстрирующем различие реакций пойкилотермных и гомойотермных организмов на варьирование климата. В отличие от сосудистых растений, пресмыкающихся и земноводных, млекопитающие и птицы гораздо слабее коррелируют со среднегодовой температурой, что демонстрирует меньшую зависимость гомойотермных групп от термических факторов. Этот пример показывает, насколько ошибочной может быть экстраполяция данных по одной таксономической группе. Разные группы в разной степени зависят от климатических трендов. Во многих случаях связь разнообразие - климат затушевывается наличием других, более существенных для данной таксономической группы факторов, например биотопических, биоценотических. К этому следует добавить и возможность влияния разного рода артефактов, вытекающих из неравномерности распределения точек учета, неравноценности учетов, разной степени влияния антропогенных факторов и т.д.
Эмпирическая (ЭК) и парциальная (ПК) корреляция числа видов сосудистых растений и наземных позвоночных заповедников Русской равнины со среднегодовой температурой и площадью
|
Параметр |
Сосудистые растения |
Земноводные |
Пресмыкающиеся |
Птицы (все) |
Птицы (гнездящиеся) |
Млекопитающие |
|
Тгод (ЭК) |
0,36* |
0,39* |
0,67*** |
0,34 |
-0,19 |
0,05 |
|
Тгод (виды/га) (ЭК) |
-0,01 |
0,04 |
0,01 |
0,46* |
0,56* |
0,02 |
|
Площадь (ЭК) |
-0,12 |
-0,17 |
-0,43* |
-0,34 |
0,54* |
0,04 |
|
Тгод (ПК) |
0,21 |
0,35* |
0,57“ |
0,42* |
-0,03 |
-0,01 |
|
Площадь (ПК) |
-0,01 |
0,01 |
-0,20 |
0,28 |
0,52* |
0,03 |
|
Число заповедников |
35 |
35 |
35 |
37 |
23 |
35 |
Примечание. Тгод - среднегодовая температура. В строке Тгод (виды/га) показана корреляция числа видов на 1 га со среднегодовой температурой. Парциальные корреляции подсчитаны для зависимости число видов - температура при постоянной площади и наоборот. Корреляция достоверна на уровне: «*» - Р < 0,05; «**» - Р < 0,01; «***» - Р < 0,001 (по данным: Соколов, Сыроечковский, 1987, 1988, 1989, 1989а).
Связь числа видов сосудистых растений и наземных позвоночных заповедников Русской равнины со среднегодовой температурой: А - сосудистые растения, Б - земноводные, В -пресмыкающиеся, Г - птицы (вся фауна), Д - гнездящиеся птицы, Е - млекопитающие. Величина корреляций и источники данных.