
Далее рассчитываем сходство этой пары со всеми прочими местообитаниями по схеме: сходство АБ с В будет равно 58 + 59/2 = 58,5.
Таким образом последовательно находим сходство АБ со всеми прочими местообитаниями. Затем с учетом вновь рассчитанных индексов и рисунке строим новую диаграмму, где вместо А и В будет стоять единая графа АБ:

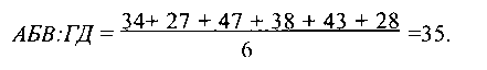
В этой диаграмме вновь находим максимальный индекс. Это 58% - сходство пары АБ с В. Объединяем эти три выдела и вновь по той же схеме рассчитываем сходство тройки АБВ со всеми прочими, для чего складываем сходство каждого местообитания. Полученные индексы используем для составления новой диаграммы, где в одной графе будет стоять тройка АБВ. В этой диаграмме максимальный индекс будет между Г и Д. Находим сходство этой пары со всеми прочими, включая и АБВ. В последнем случае будет уже шесть слагаемых:

Во вновь составленной диаграмме максимальное сходство будет между Е и Ж; в следующей - между АБВ и ГД. В результате все наши местообитания разделились на две группы: АБВГД и ЕЖ. Найдем сходство между этими группами. После этого построим диаграмму, показанную на рисунке, в которой местообитания располагаются в виде дихотомической схемы, начиная снизу с последних двух групп и далее в порядке увеличения индексов. Для большей наглядности вертикальные линии, соединяющие пары, можно откладывать в определенном масштабе. В нашем простейшем примере искомая классификация четко соответствует логически предполагаемым и очевидным соотношениям.
Кроме непосредственного сопоставления попарных коэффициентов, хорошим вспомогательным показателем, позволяющим охарактеризовать ряд группировок по степени их специфичности, могут служить суммы коэффициентов по каждому из сравниваемых выделов. Наибольшую сумму имеют группировки, занимающие «среднее» положение в рассматриваемой совокупности, обнаруживающие наибольшее сходство с большинством прочих. Снижение этого показателя, который можно именовать индексом специфичности, соответствует повышению специфики условий биотопов, например, увеличению или уменьшению увлажненности. Это хорошо иллюстрируется таблица (надо иметь в виду, что это данные для микрогруппировок в пределах одного зонального сообщества).

Классификация группировок почвенных беспозвоночных различных биотопов Центрально-Черноземного заповедника на основании индексов сходства (по: Mountford, 1962 - из Гилярова, 1965). Обозначения см. на рисунке.