
Как уже отмечалось, суточные вертикальные перемещения беспозвоночных в травостое очень резко выражены в степных группировках.
В луговых степях под Курском перепады могут достигать пятикратной величины. То же наблюдается и на суходольных лугах Подмосковья. Менее правильный характер имеют кривые, полученные в лесах исследованных районов. Это, видимо, определяется градиентами температуры и влажности, более резкими в открытых засушливых местообитаниях. В лесах максимум может приходиться и на дневные часы, в связи с чем кривая часто приобретает М-образный характер.
Пока еще неясно, какую роль в суточных вертикальных миграциях играют стереотипные реакции на изменение освещенности, а какую - непосредственное воздействие температуры, влажности и других факторов. Наиболее типичный ход суточных вертикальных перемещений многих растительноядных беспозвоночных с ночным максимумом концентрации в верхней части травостоя в общих чертах следует суточному сдвигу максимальной влажности, которая днем обычно наблюдается на поверхности почвы, а вечером смещается вверх (Гейгер, 1931).
В формировании вертикальных миграций ряда групп, очевидно, главная роль принадлежит трофическому фактору (большая питательность верхних частей растений, распределение возможных жертв хищников). При этом смещение максимума подъема на ночное время, вероятно, определяется не только изменением влажности, но и защитными реакциями. Сигнальное значение суточного ритма освещенности в вертикальных миграциях более существенно для поверхностных форм, чем для подстилочных. Для последних, вероятно, главную роль играет непосредственное воздействие влажности, в связи с чем их вертикальные перемещения менее закономерны.

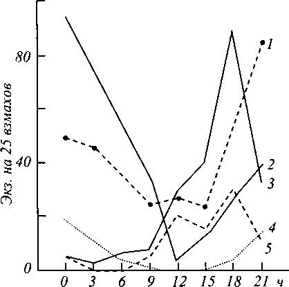
Суточная динамика численности насекомых в травостое (Центрально-Черноземный заповедник, 1966 г.):
1 -Lyciella rorida, дубрава, 20-24.VII; 2 - Diplocolenus abdominalis, некосимая степь, 30.V; 3 - Lyperonia coleoptrata, поляна, 19-23.VII; 4 - Timarcha coriaria, косимая степь, 29-30.V; 5 -Lagria hirta, дубрава, 4.VII.